2023-07-12 19:14:14.488870: I tensorflow/core/platform/cpu_feature_guard.cc:182] This TensorFlow binary is optimized to use available CPU instructions in performance-critical operations.
To enable the following instructions: AVX2 FMA, in other operations, rebuild TensorFlow with the appropriate compiler flags.
2023-07-12 19:14:15.473879: W tensorflow/compiler/tf2tensorrt/utils/py_utils.cc:38] TF-TRT Warning: Could not find TensorRT
YOLOR 🚀 v0.1-122-g3b41c2c torch 2.0.1+cu118 CUDA:0 (Tesla T4, 15101.8125MB)
Namespace(weights='yolov7x.pt', cfg='cfg/training/yolov7x.yaml', data='janken2_dataset.yaml', hyp='data/hyp.scratch.p5.yaml', epochs=60, batch_size=16, img_size=[640, 640], rect=False, resume=False, nosave=False, notest=False, noautoanchor=False, evolve=False, bucket='', cache_images=False, image_weights=False, device='0', multi_scale=False, single_cls=False, adam=False, sync_bn=False, local_rank=-1, workers=8, project='runs/train', entity=None, name='yolov7x_custom2_60', exist_ok=False, quad=False, linear_lr=False, label_smoothing=0.0, upload_dataset=False, bbox_interval=-1, save_period=-1, artifact_alias='latest', freeze=[0], v5_metric=False, world_size=1, global_rank=-1, save_dir='runs/train/yolov7x_custom2_60', total_batch_size=16)
tensorboard: Start with 'tensorboard --logdir runs/train', view at http://localhost:6006/
hyperparameters: lr0=0.01, lrf=0.1, momentum=0.937, weight_decay=0.0005, warmup_epochs=3.0, warmup_momentum=0.8, warmup_bias_lr=0.1, box=0.05, cls=0.3, cls_pw=1.0, obj=0.7, obj_pw=1.0, iou_t=0.2, anchor_t=4.0, fl_gamma=0.0, hsv_h=0.015, hsv_s=0.7, hsv_v=0.4, degrees=0.0, translate=0.2, scale=0.9, shear=0.0, perspective=0.0, flipud=0.0, fliplr=0.5, mosaic=1.0, mixup=0.15, copy_paste=0.0, paste_in=0.15, loss_ota=1
wandb: Install Weights & Biases for YOLOR logging with 'pip install wandb' (recommended)
Overriding model.yaml nc=80 with nc=3
from n params module arguments
0 -1 1 1160 models.common.Conv [3, 40, 3, 1]
1 -1 1 28960 models.common.Conv [40, 80, 3, 2]
2 -1 1 57760 models.common.Conv [80, 80, 3, 1]
3 -1 1 115520 models.common.Conv [80, 160, 3, 2]
4 -1 1 10368 models.common.Conv [160, 64, 1, 1]
5 -2 1 10368 models.common.Conv [160, 64, 1, 1]
6 -1 1 36992 models.common.Conv [64, 64, 3, 1]
7 -1 1 36992 models.common.Conv [64, 64, 3, 1]
8 -1 1 36992 models.common.Conv [64, 64, 3, 1]
9 -1 1 36992 models.common.Conv [64, 64, 3, 1]
10 -1 1 36992 models.common.Conv [64, 64, 3, 1]
11 -1 1 36992 models.common.Conv [64, 64, 3, 1]
12[-1, -3, -5, -7, -8] 1 0 models.common.Concat [1]
13 -1 1 103040 models.common.Conv [320, 320, 1, 1]
14 -1 1 0 models.common.MP []
15 -1 1 51520 models.common.Conv [320, 160, 1, 1]
16 -3 1 51520 models.common.Conv [320, 160, 1, 1]
17 -1 1 230720 models.common.Conv [160, 160, 3, 2]
18 [-1, -3] 1 0 models.common.Concat [1]
19 -1 1 41216 models.common.Conv [320, 128, 1, 1]
20 -2 1 41216 models.common.Conv [320, 128, 1, 1]
21 -1 1 147712 models.common.Conv [128, 128, 3, 1]
22 -1 1 147712 models.common.Conv [128, 128, 3, 1]
23 -1 1 147712 models.common.Conv [128, 128, 3, 1]
24 -1 1 147712 models.common.Conv [128, 128, 3, 1]
25 -1 1 147712 models.common.Conv [128, 128, 3, 1]
26 -1 1 147712 models.common.Conv [128, 128, 3, 1]
27[-1, -3, -5, -7, -8] 1 0 models.common.Concat [1]
28 -1 1 410880 models.common.Conv [640, 640, 1, 1]
29 -1 1 0 models.common.MP []
30 -1 1 205440 models.common.Conv [640, 320, 1, 1]
31 -3 1 205440 models.common.Conv [640, 320, 1, 1]
32 -1 1 922240 models.common.Conv [320, 320, 3, 2]
33 [-1, -3] 1 0 models.common.Concat [1]
34 -1 1 164352 models.common.Conv [640, 256, 1, 1]
35 -2 1 164352 models.common.Conv [640, 256, 1, 1]
36 -1 1 590336 models.common.Conv [256, 256, 3, 1]
37 -1 1 590336 models.common.Conv [256, 256, 3, 1]
38 -1 1 590336 models.common.Conv [256, 256, 3, 1]
39 -1 1 590336 models.common.Conv [256, 256, 3, 1]
40 -1 1 590336 models.common.Conv [256, 256, 3, 1]
41 -1 1 590336 models.common.Conv [256, 256, 3, 1]
42[-1, -3, -5, -7, -8] 1 0 models.common.Concat [1]
43 -1 1 1640960 models.common.Conv [1280, 1280, 1, 1]
44 -1 1 0 models.common.MP []
45 -1 1 820480 models.common.Conv [1280, 640, 1, 1]
46 -3 1 820480 models.common.Conv [1280, 640, 1, 1]
47 -1 1 3687680 models.common.Conv [640, 640, 3, 2]
48 [-1, -3] 1 0 models.common.Concat [1]
49 -1 1 328192 models.common.Conv [1280, 256, 1, 1]
50 -2 1 328192 models.common.Conv [1280, 256, 1, 1]
51 -1 1 590336 models.common.Conv [256, 256, 3, 1]
52 -1 1 590336 models.common.Conv [256, 256, 3, 1]
53 -1 1 590336 models.common.Conv [256, 256, 3, 1]
54 -1 1 590336 models.common.Conv [256, 256, 3, 1]
55 -1 1 590336 models.common.Conv [256, 256, 3, 1]
56 -1 1 590336 models.common.Conv [256, 256, 3, 1]
57[-1, -3, -5, -7, -8] 1 0 models.common.Concat [1]
58 -1 1 1640960 models.common.Conv [1280, 1280, 1, 1]
59 -1 1 11887360 models.common.SPPCSPC [1280, 640, 1]
60 -1 1 205440 models.common.Conv [640, 320, 1, 1]
61 -1 1 0 torch.nn.modules.upsampling.Upsample [None, 2, 'nearest']
62 43 1 410240 models.common.Conv [1280, 320, 1, 1]
63 [-1, -2] 1 0 models.common.Concat [1]
64 -1 1 164352 models.common.Conv [640, 256, 1, 1]
65 -2 1 164352 models.common.Conv [640, 256, 1, 1]
66 -1 1 590336 models.common.Conv [256, 256, 3, 1]
67 -1 1 590336 models.common.Conv [256, 256, 3, 1]
68 -1 1 590336 models.common.Conv [256, 256, 3, 1]
69 -1 1 590336 models.common.Conv [256, 256, 3, 1]
70 -1 1 590336 models.common.Conv [256, 256, 3, 1]
71 -1 1 590336 models.common.Conv [256, 256, 3, 1]
72[-1, -3, -5, -7, -8] 1 0 models.common.Concat [1]
73 -1 1 410240 models.common.Conv [1280, 320, 1, 1]
74 -1 1 51520 models.common.Conv [320, 160, 1, 1]
75 -1 1 0 torch.nn.modules.upsampling.Upsample [None, 2, 'nearest']
76 28 1 102720 models.common.Conv [640, 160, 1, 1]
77 [-1, -2] 1 0 models.common.Concat [1]
78 -1 1 41216 models.common.Conv [320, 128, 1, 1]
79 -2 1 41216 models.common.Conv [320, 128, 1, 1]
80 -1 1 147712 models.common.Conv [128, 128, 3, 1]
81 -1 1 147712 models.common.Conv [128, 128, 3, 1]
82 -1 1 147712 models.common.Conv [128, 128, 3, 1]
83 -1 1 147712 models.common.Conv [128, 128, 3, 1]
84 -1 1 147712 models.common.Conv [128, 128, 3, 1]
85 -1 1 147712 models.common.Conv [128, 128, 3, 1]
86[-1, -3, -5, -7, -8] 1 0 models.common.Concat [1]
87 -1 1 102720 models.common.Conv [640, 160, 1, 1]
88 -1 1 0 models.common.MP []
89 -1 1 25920 models.common.Conv [160, 160, 1, 1]
90 -3 1 25920 models.common.Conv [160, 160, 1, 1]
91 -1 1 230720 models.common.Conv [160, 160, 3, 2]
92 [-1, -3, 73] 1 0 models.common.Concat [1]
93 -1 1 164352 models.common.Conv [640, 256, 1, 1]
94 -2 1 164352 models.common.Conv [640, 256, 1, 1]
95 -1 1 590336 models.common.Conv [256, 256, 3, 1]
96 -1 1 590336 models.common.Conv [256, 256, 3, 1]
97 -1 1 590336 models.common.Conv [256, 256, 3, 1]
98 -1 1 590336 models.common.Conv [256, 256, 3, 1]
99 -1 1 590336 models.common.Conv [256, 256, 3, 1]
100 -1 1 590336 models.common.Conv [256, 256, 3, 1]
101[-1, -3, -5, -7, -8] 1 0 models.common.Concat [1]
102 -1 1 410240 models.common.Conv [1280, 320, 1, 1]
103 -1 1 0 models.common.MP []
104 -1 1 103040 models.common.Conv [320, 320, 1, 1]
105 -3 1 103040 models.common.Conv [320, 320, 1, 1]
106 -1 1 922240 models.common.Conv [320, 320, 3, 2]
107 [-1, -3, 59] 1 0 models.common.Concat [1]
108 -1 1 656384 models.common.Conv [1280, 512, 1, 1]
109 -2 1 656384 models.common.Conv [1280, 512, 1, 1]
110 -1 1 2360320 models.common.Conv [512, 512, 3, 1]
111 -1 1 2360320 models.common.Conv [512, 512, 3, 1]
112 -1 1 2360320 models.common.Conv [512, 512, 3, 1]
113 -1 1 2360320 models.common.Conv [512, 512, 3, 1]
114 -1 1 2360320 models.common.Conv [512, 512, 3, 1]
115 -1 1 2360320 models.common.Conv [512, 512, 3, 1]
116[-1, -3, -5, -7, -8] 1 0 models.common.Concat [1]
117 -1 1 1639680 models.common.Conv [2560, 640, 1, 1]
118 87 1 461440 models.common.Conv [160, 320, 3, 1]
119 102 1 1844480 models.common.Conv [320, 640, 3, 1]
120 117 1 7375360 models.common.Conv [640, 1280, 3, 1]
121 [118, 119, 120] 1 56144 models.yolo.IDetect [3, [[12, 16, 19, 36, 40, 28], [36, 75, 76, 55, 72, 146], [142, 110, 192, 243, 459, 401]], [320, 640, 1280]]
Model Summary: 467 layers, 70828568 parameters, 70828568 gradients
Transferred 630/644 items from yolov7x.pt
Scaled weight_decay = 0.0005
Optimizer groups: 108 .bias, 108 conv.weight, 111 other
train: Scanning 'data/janken2_dataset/train/labels' images and labels... 480 found, 0 missing, 0 empty, 0 corrupted: 100% 480/480 [02:01<00:00, 3.94it/s]
train: New cache created: data/janken2_dataset/train/labels.cache
val: Scanning 'data/janken2_dataset/valid/labels' images and labels... 120 found, 0 missing, 0 empty, 0 corrupted: 100% 120/120 [00:30<00:00, 3.89it/s]
val: New cache created: data/janken2_dataset/valid/labels.cache
autoanchor: Analyzing anchors... anchors/target = 4.19, Best Possible Recall (BPR) = 1.0000
Image sizes 640 train, 640 test
Using 2 dataloader workers
Logging results to runs/train/yolov7x_custom2_60
Starting training for 60 epochs...
Epoch gpu_mem box obj cls total labels img_size
0/59 14.4G 0.0681 0.01932 0.02179 0.1092 35 640: 100% 30/30 [01:02<00:00, 2.09s/it]
Class Images Labels P R mAP@.5 mAP@.5:.95: 0% 0/4 [00:00<?, ?it/s]/usr/local/lib/python3.10/dist-packages/torch/functional.py:504: UserWarning: torch.meshgrid: in an upcoming release, it will be required to pass the indexing argument. (Triggered internally at ../aten/src/ATen/native/TensorShape.cpp:3483.)
return _VF.meshgrid(tensors, **kwargs) # type: ignore[attr-defined]
Class Images Labels P R mAP@.5 mAP@.5:.95: 100% 4/4 [00:15<00:00, 3.76s/it]
all 120 120 0.0217 0.0449 0.0101 0.00163
Epoch gpu_mem box obj cls total labels img_size
1/59 14.3G 0.05685 0.01645 0.02203 0.09533 44 640: 100% 30/30 [00:44<00:00, 1.49s/it]
Class Images Labels P R mAP@.5 mAP@.5:.95: 100% 4/4 [00:03<00:00, 1.27it/s]
all 120 120 0.0202 0.183 0.0143 0.00231
Epoch gpu_mem box obj cls total labels img_size
2/59 14.3G 0.05164 0.01496 0.02144 0.08804 42 640: 100% 30/30 [00:43<00:00, 1.44s/it]
Class Images Labels P R mAP@.5 mAP@.5:.95: 100% 4/4 [00:02<00:00, 1.40it/s]
all 120 120 0.111 0.183 0.0777 0.0221
Epoch gpu_mem box obj cls total labels img_size
3/59 14.3G 0.05053 0.0141 0.02079 0.08541 66 640: 100% 30/30 [00:43<00:00, 1.44s/it]
Class Images Labels P R mAP@.5 mAP@.5:.95: 100% 4/4 [00:02<00:00, 1.51it/s]
all 120 120 0.234 0.673 0.266 0.108
Epoch gpu_mem box obj cls total labels img_size
4/59 14.3G 0.05113 0.01154 0.02029 0.08296 48 640: 100% 30/30 [00:42<00:00, 1.43s/it]
Class Images Labels P R mAP@.5 mAP@.5:.95: 100% 4/4 [00:02<00:00, 1.55it/s]
all 120 120 0.361 0.558 0.365 0.181
Epoch gpu_mem box obj cls total labels img_size
5/59 14.3G 0.05104 0.01062 0.01954 0.08119 36 640: 100% 30/30 [00:43<00:00, 1.44s/it]
Class Images Labels P R mAP@.5 mAP@.5:.95: 100% 4/4 [00:02<00:00, 1.49it/s]
all 120 120 0.151 0.217 0.111 0.0353
Epoch gpu_mem box obj cls total labels img_size
6/59 14.3G 0.04784 0.01013 0.01921 0.07719 34 640: 100% 30/30 [00:42<00:00, 1.40s/it]
Class Images Labels P R mAP@.5 mAP@.5:.95: 100% 4/4 [00:02<00:00, 1.57it/s]
all 120 120 0.362 0.748 0.422 0.153
Epoch gpu_mem box obj cls total labels img_size
7/59 14.3G 0.04462 0.008979 0.0176 0.0712 50 640: 100% 30/30 [00:42<00:00, 1.40s/it]
Class Images Labels P R mAP@.5 mAP@.5:.95: 100% 4/4 [00:02<00:00, 1.54it/s]
all 120 120 0.369 0.583 0.365 0.174
Epoch gpu_mem box obj cls total labels img_size
8/59 14.3G 0.04962 0.009079 0.01714 0.07584 52 640: 100% 30/30 [00:41<00:00, 1.37s/it]
Class Images Labels P R mAP@.5 mAP@.5:.95: 100% 4/4 [00:02<00:00, 1.60it/s]
all 120 120 0.411 0.715 0.495 0.25
Epoch gpu_mem box obj cls total labels img_size
9/59 14.3G 0.04233 0.009555 0.01745 0.06933 42 640: 100% 30/30 [00:41<00:00, 1.39s/it]
Class Images Labels P R mAP@.5 mAP@.5:.95: 100% 4/4 [00:03<00:00, 1.26it/s]
all 120 120 0.511 0.764 0.591 0.314
Epoch gpu_mem box obj cls total labels img_size
10/59 14.3G 0.04662 0.009044 0.0175 0.07317 47 640: 100% 30/30 [00:42<00:00, 1.41s/it]
Class Images Labels P R mAP@.5 mAP@.5:.95: 100% 4/4 [00:02<00:00, 1.60it/s]
all 120 120 0.477 0.642 0.549 0.326
Epoch gpu_mem box obj cls total labels img_size
11/59 14.3G 0.04523 0.008884 0.01668 0.07079 57 640: 100% 30/30 [00:42<00:00, 1.43s/it]
Class Images Labels P R mAP@.5 mAP@.5:.95: 100% 4/4 [00:03<00:00, 1.28it/s]
all 120 120 0.55 0.67 0.61 0.373
Epoch gpu_mem box obj cls total labels img_size
12/59 14.3G 0.04498 0.008311 0.01595 0.06924 47 640: 100% 30/30 [00:42<00:00, 1.40s/it]
Class Images Labels P R mAP@.5 mAP@.5:.95: 100% 4/4 [00:02<00:00, 1.59it/s]
all 120 120 0.418 0.792 0.564 0.271
Epoch gpu_mem box obj cls total labels img_size
13/59 14.3G 0.04339 0.007621 0.01556 0.06657 37 640: 100% 30/30 [00:40<00:00, 1.34s/it]
Class Images Labels P R mAP@.5 mAP@.5:.95: 100% 4/4 [00:03<00:00, 1.27it/s]
all 120 120 0.39 0.567 0.43 0.183
Epoch gpu_mem box obj cls total labels img_size
14/59 14.3G 0.04663 0.008304 0.01703 0.07196 46 640: 100% 30/30 [00:40<00:00, 1.36s/it]
Class Images Labels P R mAP@.5 mAP@.5:.95: 100% 4/4 [00:02<00:00, 1.42it/s]
all 120 120 0.248 0.35 0.187 0.075
Epoch gpu_mem box obj cls total labels img_size
15/59 14.3G 0.04339 0.008267 0.01685 0.0685 48 640: 100% 30/30 [00:40<00:00, 1.37s/it]
Class Images Labels P R mAP@.5 mAP@.5:.95: 100% 4/4 [00:02<00:00, 1.60it/s]
all 120 120 0.54 0.516 0.338 0.212
Epoch gpu_mem box obj cls total labels img_size
16/59 14.3G 0.037 0.00794 0.01478 0.05972 54 640: 100% 30/30 [00:41<00:00, 1.37s/it]
Class Images Labels P R mAP@.5 mAP@.5:.95: 100% 4/4 [00:02<00:00, 1.54it/s]
all 120 120 0.516 0.798 0.608 0.352
Epoch gpu_mem box obj cls total labels img_size
17/59 14.3G 0.04314 0.00783 0.01439 0.06535 54 640: 100% 30/30 [00:41<00:00, 1.38s/it]
Class Images Labels P R mAP@.5 mAP@.5:.95: 100% 4/4 [00:03<00:00, 1.26it/s]
all 120 120 0.377 0.695 0.466 0.266
Epoch gpu_mem box obj cls total labels img_size
18/59 14.2G 0.03568 0.008158 0.01409 0.05793 39 640: 100% 30/30 [00:41<00:00, 1.38s/it]
Class Images Labels P R mAP@.5 mAP@.5:.95: 100% 4/4 [00:03<00:00, 1.31it/s]
all 120 120 0.124 0.241 0.074 0.0186
Epoch gpu_mem box obj cls total labels img_size
19/59 14.2G 0.0403 0.008222 0.01486 0.06338 39 640: 100% 30/30 [00:42<00:00, 1.41s/it]
Class Images Labels P R mAP@.5 mAP@.5:.95: 100% 4/4 [00:02<00:00, 1.58it/s]
all 120 120 0.686 0.00833 0.00123 0.000245
Epoch gpu_mem box obj cls total labels img_size
20/59 14.2G 0.04804 0.007868 0.01696 0.07287 39 640: 100% 30/30 [00:42<00:00, 1.43s/it]
Class Images Labels P R mAP@.5 mAP@.5:.95: 100% 4/4 [00:02<00:00, 1.51it/s]
all 120 120 0.0289 0.367 0.0129 0.0053
Epoch gpu_mem box obj cls total labels img_size
21/59 14.2G 0.04198 0.008768 0.01731 0.06806 53 640: 100% 30/30 [00:41<00:00, 1.40s/it]
Class Images Labels P R mAP@.5 mAP@.5:.95: 100% 4/4 [00:02<00:00, 1.46it/s]
all 120 120 0.000968 0.0417 0.000202 3.4e-05
Epoch gpu_mem box obj cls total labels img_size
22/59 14.2G 0.03543 0.007735 0.01534 0.05851 37 640: 100% 30/30 [00:40<00:00, 1.34s/it]
Class Images Labels P R mAP@.5 mAP@.5:.95: 100% 4/4 [00:03<00:00, 1.29it/s]
all 120 120 0.421 0.462 0.34 0.169
Epoch gpu_mem box obj cls total labels img_size
23/59 14.2G 0.03544 0.007921 0.01435 0.05771 48 640: 100% 30/30 [00:41<00:00, 1.39s/it]
Class Images Labels P R mAP@.5 mAP@.5:.95: 100% 4/4 [00:02<00:00, 1.45it/s]
all 120 120 0.517 0.912 0.682 0.433
Epoch gpu_mem box obj cls total labels img_size
24/59 14.2G 0.03697 0.007951 0.01438 0.0593 54 640: 100% 30/30 [00:42<00:00, 1.41s/it]
Class Images Labels P R mAP@.5 mAP@.5:.95: 100% 4/4 [00:02<00:00, 1.58it/s]
all 120 120 0.49 0.557 0.516 0.303
Epoch gpu_mem box obj cls total labels img_size
25/59 14.1G 0.03675 0.007778 0.01517 0.0597 42 640: 100% 30/30 [00:42<00:00, 1.40s/it]
Class Images Labels P R mAP@.5 mAP@.5:.95: 100% 4/4 [00:03<00:00, 1.27it/s]
all 120 120 0.334 0.324 0.252 0.109
Epoch gpu_mem box obj cls total labels img_size
26/59 14.1G 0.03648 0.007837 0.01329 0.05761 43 640: 100% 30/30 [00:41<00:00, 1.38s/it]
Class Images Labels P R mAP@.5 mAP@.5:.95: 100% 4/4 [00:02<00:00, 1.58it/s]
all 120 120 0.28 0.283 0.207 0.0985
Epoch gpu_mem box obj cls total labels img_size
27/59 14.1G 0.03634 0.007276 0.01417 0.05778 49 640: 100% 30/30 [00:41<00:00, 1.39s/it]
Class Images Labels P R mAP@.5 mAP@.5:.95: 100% 4/4 [00:02<00:00, 1.60it/s]
all 120 120 0.174 0.05 0.0284 0.00969
Epoch gpu_mem box obj cls total labels img_size
28/59 14.1G 0.04075 0.007394 0.01422 0.06236 53 640: 100% 30/30 [00:40<00:00, 1.36s/it]
Class Images Labels P R mAP@.5 mAP@.5:.95: 100% 4/4 [00:02<00:00, 1.62it/s]
all 120 120 0.00932 0.00833 0.000543 0.000167
Epoch gpu_mem box obj cls total labels img_size
29/59 14.1G 0.03572 0.007363 0.0137 0.05678 54 640: 100% 30/30 [00:41<00:00, 1.38s/it]
Class Images Labels P R mAP@.5 mAP@.5:.95: 100% 4/4 [00:03<00:00, 1.33it/s]
all 120 120 0.0479 0.075 0.0112 0.00435
Epoch gpu_mem box obj cls total labels img_size
30/59 14.1G 0.03766 0.006934 0.01316 0.05775 23 640: 100% 30/30 [00:41<00:00, 1.37s/it]
Class Images Labels P R mAP@.5 mAP@.5:.95: 100% 4/4 [00:02<00:00, 1.52it/s]
all 120 120 0.0931 0.122 0.0466 0.0187
Epoch gpu_mem box obj cls total labels img_size
31/59 14.2G 0.03331 0.007154 0.01285 0.05331 53 640: 100% 30/30 [00:41<00:00, 1.38s/it]
Class Images Labels P R mAP@.5 mAP@.5:.95: 100% 4/4 [00:02<00:00, 1.59it/s]
all 120 120 0.639 0.467 0.489 0.312
Epoch gpu_mem box obj cls total labels img_size
32/59 14.2G 0.03142 0.006452 0.01162 0.04949 50 640: 100% 30/30 [00:40<00:00, 1.36s/it]
Class Images Labels P R mAP@.5 mAP@.5:.95: 100% 4/4 [00:02<00:00, 1.59it/s]
all 120 120 0.701 0.854 0.825 0.544
Epoch gpu_mem box obj cls total labels img_size
33/59 14.2G 0.03462 0.006683 0.01137 0.05267 48 640: 100% 30/30 [00:41<00:00, 1.38s/it]
Class Images Labels P R mAP@.5 mAP@.5:.95: 100% 4/4 [00:03<00:00, 1.29it/s]
all 120 120 0.604 0.724 0.704 0.458
Epoch gpu_mem box obj cls total labels img_size
34/59 14.2G 0.0352 0.006353 0.0116 0.05315 37 640: 100% 30/30 [00:40<00:00, 1.36s/it]
Class Images Labels P R mAP@.5 mAP@.5:.95: 100% 4/4 [00:03<00:00, 1.27it/s]
all 120 120 0.829 0.84 0.942 0.672
Epoch gpu_mem box obj cls total labels img_size
35/59 14.2G 0.03385 0.006672 0.01176 0.05228 44 640: 100% 30/30 [00:43<00:00, 1.45s/it]
Class Images Labels P R mAP@.5 mAP@.5:.95: 100% 4/4 [00:02<00:00, 1.39it/s]
all 120 120 0.825 0.838 0.911 0.59
Epoch gpu_mem box obj cls total labels img_size
36/59 14.2G 0.03679 0.006203 0.01175 0.05474 46 640: 100% 30/30 [00:40<00:00, 1.36s/it]
Class Images Labels P R mAP@.5 mAP@.5:.95: 100% 4/4 [00:03<00:00, 1.22it/s]
all 120 120 0.892 0.891 0.963 0.68
Epoch gpu_mem box obj cls total labels img_size
37/59 14.2G 0.03231 0.006649 0.01071 0.04967 34 640: 100% 30/30 [00:43<00:00, 1.44s/it]
Class Images Labels P R mAP@.5 mAP@.5:.95: 100% 4/4 [00:02<00:00, 1.60it/s]
all 120 120 0.933 0.906 0.975 0.708
Epoch gpu_mem box obj cls total labels img_size
38/59 14.2G 0.03375 0.006575 0.01119 0.05152 39 640: 100% 30/30 [00:41<00:00, 1.39s/it]
Class Images Labels P R mAP@.5 mAP@.5:.95: 100% 4/4 [00:03<00:00, 1.23it/s]
all 120 120 0.858 0.833 0.915 0.604
Epoch gpu_mem box obj cls total labels img_size
39/59 14.2G 0.03002 0.006665 0.01091 0.0476 51 640: 100% 30/30 [00:41<00:00, 1.38s/it]
Class Images Labels P R mAP@.5 mAP@.5:.95: 100% 4/4 [00:02<00:00, 1.51it/s]
all 120 120 0.962 0.873 0.976 0.697
Epoch gpu_mem box obj cls total labels img_size
40/59 14.2G 0.03477 0.006127 0.01094 0.05183 39 640: 100% 30/30 [00:42<00:00, 1.41s/it]
Class Images Labels P R mAP@.5 mAP@.5:.95: 100% 4/4 [00:02<00:00, 1.59it/s]
all 120 120 0.892 0.889 0.954 0.672
Epoch gpu_mem box obj cls total labels img_size
41/59 14.2G 0.0344 0.006646 0.01126 0.0523 47 640: 100% 30/30 [00:41<00:00, 1.37s/it]
Class Images Labels P R mAP@.5 mAP@.5:.95: 100% 4/4 [00:02<00:00, 1.59it/s]
all 120 120 0.954 0.967 0.984 0.719
Epoch gpu_mem box obj cls total labels img_size
42/59 14.2G 0.03319 0.006344 0.01118 0.05071 38 640: 100% 30/30 [00:43<00:00, 1.44s/it]
Class Images Labels P R mAP@.5 mAP@.5:.95: 100% 4/4 [00:02<00:00, 1.58it/s]
all 120 120 0.841 0.741 0.805 0.517
Epoch gpu_mem box obj cls total labels img_size
43/59 14.2G 0.02878 0.006224 0.01048 0.04548 52 640: 100% 30/30 [00:40<00:00, 1.36s/it]
Class Images Labels P R mAP@.5 mAP@.5:.95: 100% 4/4 [00:02<00:00, 1.61it/s]
all 120 120 0.968 0.946 0.983 0.693
Epoch gpu_mem box obj cls total labels img_size
44/59 14.2G 0.03183 0.006496 0.01069 0.04902 54 640: 100% 30/30 [00:41<00:00, 1.38s/it]
Class Images Labels P R mAP@.5 mAP@.5:.95: 100% 4/4 [00:02<00:00, 1.58it/s]
all 120 120 0.94 0.891 0.976 0.688
Epoch gpu_mem box obj cls total labels img_size
45/59 14.2G 0.03003 0.006326 0.01033 0.04669 49 640: 100% 30/30 [00:40<00:00, 1.35s/it]
Class Images Labels P R mAP@.5 mAP@.5:.95: 100% 4/4 [00:02<00:00, 1.42it/s]
all 120 120 0.922 0.945 0.973 0.716
Epoch gpu_mem box obj cls total labels img_size
46/59 14.2G 0.0294 0.006092 0.009538 0.04503 34 640: 100% 30/30 [00:40<00:00, 1.34s/it]
Class Images Labels P R mAP@.5 mAP@.5:.95: 100% 4/4 [00:03<00:00, 1.30it/s]
all 120 120 0.943 0.966 0.982 0.739
Epoch gpu_mem box obj cls total labels img_size
47/59 14.2G 0.03086 0.005871 0.009502 0.04624 37 640: 100% 30/30 [00:42<00:00, 1.43s/it]
Class Images Labels P R mAP@.5 mAP@.5:.95: 100% 4/4 [00:02<00:00, 1.61it/s]
all 120 120 0.964 0.966 0.989 0.757
Epoch gpu_mem box obj cls total labels img_size
48/59 14.2G 0.03091 0.006323 0.01035 0.04758 51 640: 100% 30/30 [00:41<00:00, 1.39s/it]
Class Images Labels P R mAP@.5 mAP@.5:.95: 100% 4/4 [00:03<00:00, 1.29it/s]
all 120 120 0.911 0.85 0.933 0.693
Epoch gpu_mem box obj cls total labels img_size
49/59 14.2G 0.03011 0.006137 0.01022 0.04647 40 640: 100% 30/30 [00:40<00:00, 1.34s/it]
Class Images Labels P R mAP@.5 mAP@.5:.95: 100% 4/4 [00:02<00:00, 1.37it/s]
all 120 120 0.967 0.958 0.991 0.756
Epoch gpu_mem box obj cls total labels img_size
50/59 14.2G 0.02953 0.005935 0.009395 0.04486 49 640: 100% 30/30 [00:43<00:00, 1.46s/it]
Class Images Labels P R mAP@.5 mAP@.5:.95: 100% 4/4 [00:03<00:00, 1.32it/s]
all 120 120 0.95 0.974 0.986 0.735
Epoch gpu_mem box obj cls total labels img_size
51/59 14.2G 0.03174 0.006027 0.01057 0.04834 58 640: 100% 30/30 [00:40<00:00, 1.35s/it]
Class Images Labels P R mAP@.5 mAP@.5:.95: 100% 4/4 [00:02<00:00, 1.56it/s]
all 120 120 0.986 0.903 0.985 0.723
Epoch gpu_mem box obj cls total labels img_size
52/59 14.2G 0.02378 0.00587 0.008013 0.03767 38 640: 100% 30/30 [00:40<00:00, 1.36s/it]
Class Images Labels P R mAP@.5 mAP@.5:.95: 100% 4/4 [00:02<00:00, 1.60it/s]
all 120 120 0.92 0.965 0.986 0.761
Epoch gpu_mem box obj cls total labels img_size
53/59 14.2G 0.02978 0.005794 0.009871 0.04545 43 640: 100% 30/30 [00:42<00:00, 1.41s/it]
Class Images Labels P R mAP@.5 mAP@.5:.95: 100% 4/4 [00:02<00:00, 1.58it/s]
all 120 120 0.982 0.958 0.991 0.752
Epoch gpu_mem box obj cls total labels img_size
54/59 14.2G 0.02775 0.006075 0.009443 0.04327 47 640: 100% 30/30 [00:40<00:00, 1.36s/it]
Class Images Labels P R mAP@.5 mAP@.5:.95: 100% 4/4 [00:02<00:00, 1.48it/s]
all 120 120 0.981 0.982 0.994 0.76
Epoch gpu_mem box obj cls total labels img_size
55/59 14.2G 0.02921 0.005971 0.009573 0.04476 38 640: 100% 30/30 [00:41<00:00, 1.37s/it]
Class Images Labels P R mAP@.5 mAP@.5:.95: 100% 4/4 [00:05<00:00, 1.29s/it]
all 120 120 0.987 0.975 0.994 0.747
Epoch gpu_mem box obj cls total labels img_size
56/59 14.2G 0.02385 0.005905 0.008025 0.03778 39 640: 100% 30/30 [00:42<00:00, 1.40s/it]
Class Images Labels P R mAP@.5 mAP@.5:.95: 100% 4/4 [00:02<00:00, 1.49it/s]
all 120 120 0.988 0.99 0.993 0.76
Epoch gpu_mem box obj cls total labels img_size
57/59 14.2G 0.02787 0.00592 0.008957 0.04275 41 640: 100% 30/30 [00:41<00:00, 1.40s/it]
Class Images Labels P R mAP@.5 mAP@.5:.95: 100% 4/4 [00:02<00:00, 1.60it/s]
all 120 120 0.987 0.98 0.994 0.768
Epoch gpu_mem box obj cls total labels img_size
58/59 14.2G 0.02616 0.005833 0.00942 0.04142 46 640: 100% 30/30 [00:42<00:00, 1.42s/it]
Class Images Labels P R mAP@.5 mAP@.5:.95: 100% 4/4 [00:02<00:00, 1.34it/s]
all 120 120 0.982 0.975 0.993 0.758
Epoch gpu_mem box obj cls total labels img_size
59/59 14.2G 0.02654 0.00555 0.009116 0.0412 45 640: 100% 30/30 [00:42<00:00, 1.41s/it]
Class Images Labels P R mAP@.5 mAP@.5:.95: 100% 4/4 [00:03<00:00, 1.06it/s]
all 120 120 0.977 0.983 0.992 0.753
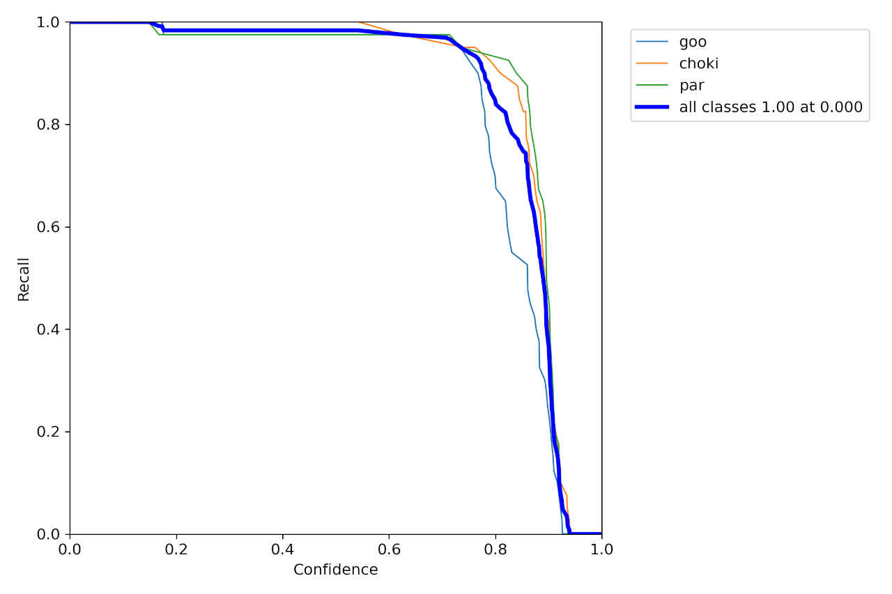
goo 120 40 0.991 0.975 0.993 0.694
choki 120 40 0.952 1 0.99 0.778
par 120 40 0.988 0.975 0.994 0.785
60 epochs completed in 0.843 hours.
Optimizer stripped from runs/train/yolov7x_custom2_60/weights/last.pt, 142.1MB
Optimizer stripped from runs/train/yolov7x_custom2_60/weights/best.pt, 142.1MB